減肥失敗不是你的錯,是減肥策略的錯

Photo Credit:slightly everything

繼續減肥的話題。

我曾經在某則報導中看見,有人建議將肥胖列為傳染病。沒錯,就是那種打噴嚏不遮嘴巴,旁邊同學隔天就會請病假的傳染病。據說有胖朋友,你肥胖的機率也會增加。想想這也不是很難理解的事,整天有人在一旁吃雞排配珍奶,你還能心平氣和地啃蔬菜棒嗎?!

肥胖是本世紀的問題,是科技促成了大量生產糧食的副作用。從1975年到2005年之間,美國人每日攝取的熱量多一千大卡,平均體重增加9公斤。但運動呢,很顯然地,在google glass(關鍵字)不普及之前,人們依然很難將屁股從電腦前移開。

-----廣告,請繼續往下閱讀-----

肥胖的理由很簡單:人體會依據吸收能量與消耗能量,來調整新陳代謝與身體組織,當吸收的能量(Energy Intake :EI)太多,消耗的能量太少(Energy Expenditure: EE),中間的差額就是你肚子上的那一圈兒。

上次提到固定減少飲食或增加運動,減肥效果會越來越差,因為減重的效果並非線性遞減,而是逐漸趨緩。之後,我們介紹了一個線上的體重模擬器(body weight simulator)。這個模擬器告訴你想在X天內減肥Y公斤,飲食跟運動習慣該如何調整,不是簡單的1公斤含幾大卡熱量所以減肥幾公斤要少吃幾大卡這種簡單的四則運算。

今天,我們進一步來看這個體重模擬器背後的原理。

-----廣告,請繼續往下閱讀-----

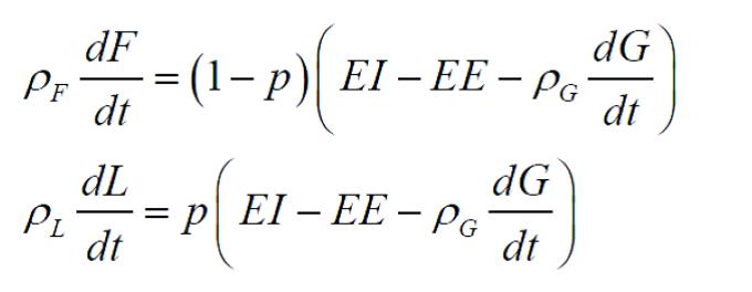
減肥首先要做的就是:降低吸收的能量,或增加消耗的能量。脂肪(F)跟肌肉(L)的變化量(微分)與吸收的能量減去消耗的能量成正比,可以用下式表示

其中,F跟L各自代表示脂肪(肌肉),ρ是每公斤脂肪(肌肉)所儲存的能量,ρF約是ρL的5倍,也就是說,增減一公斤的肌肉,需要的能量是增減一公斤脂肪的五倍。撇開其他太複雜的變數不提,當一個人體重維持定值時,表示一切達到平衡,微分項皆為0。吸收能量(EI)與消耗能量(EE)相減也會相等。

每個人脂肪,則可以依據性別、身高(H)、體重(BW)、還有年紀(age)來計算

以身高1.6米、體重50公斤的25歲女孩子來說,算出來是10.13公斤,但如果多了5歲,那就多了350克,驗證了一句話,歲月不饒人。

-----廣告,請繼續往下閱讀-----

再來看脂肪跟肌肉是如何消耗能量的

可以看見,消耗的能量除了跟一些基本參數(K、TEF、AT)有關外,最重要的就是跟脂肪以及肌肉現有的質量(F、L)、變化量(微分項)有關。

對應的加權參數γL是γF的7倍,也就是說,同樣質量的肌肉,儘管儲存能量較少,但單位肌肉消耗的能量,卻是脂肪的7倍(所以說肌肉多好,又不重又能消耗能量)。ηL與ηF只差了1.3倍左右。η跟γ相差了幾十倍,表示改變肌肉或脂肪重量時,需要消耗的能量遠比維持每天生活的能量要來的多。

-----廣告,請繼續往下閱讀-----

根據傳統線性模型,1天減少480大卡節食策略的100公斤胖子,他會以每年減少22kg的幅度下降。但實際上,根據更精確的模型指出,很抱歉,他最終只能瘦25公斤,而且這會在10年內才完成。

聽起來真沮喪,比陳奕迅的《十年》聽起來還讓人傷心。

別傷心的太早,因為,第1年就能瘦一半,來到88公斤。3年內可以瘦到76.25公斤,最後7年瘦1.25公斤。還算是可以接受吧。

這個真實的模型告訴我們,一般人無法達到減肥計畫,不是計畫的錯,而是傳統線性模型的錯。遺憾的是因為線性模型夠簡單,所以被廣泛使用。正確不正確反而是其次。預估約有正負5%的誤差。也就是說最差的情況下,他最後可能只瘦到79公斤。最好的情況下將會是個71公斤的瘦子,真好!!

-----廣告,請繼續往下閱讀-----

 

接著,比較不同體重的人,採取同樣減肥策略的效果。

儘管一開始的減肥效果相同,但過了一個時間後,體重比較重的人會繼續瘦下去,體重較輕的人會趨緩。因為比較重的人原本就需要比較多的能量來維持運作,特別是肌肉部分。但當能量減少時,先減少的是脂肪,保留下來的較多的肌肉,會造成他的減肥效果更好。

但相對來說,需要較長的時間才能得到平衡。

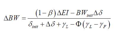
我們可以用下面的式子來解釋最後的體重變化(ΔBW)

-----廣告,請繼續往下閱讀-----

其中Φ跟減重前的脂肪(F)成正比,因為γL>γF,F越大,Φ越大,分母越小,減少的體重越多。ΔEI則是減少的能量攝取,攝取能量越少,越能減肥。

另外,這式子也記錄了運動效果δ。δinit是減肥前的運動強度,Δδ則是減肥時增加的運動強度。可以看見一開始就有運動的人,在同樣的節食效果下,反而會有比較差的減肥成果。原本比較胖的人,因為分子BWinit較大,使用運動減肥也會有比較好的效果。

如果你已經在跑步了,還胖胖的(就是我),那就得有點擔心了。

 

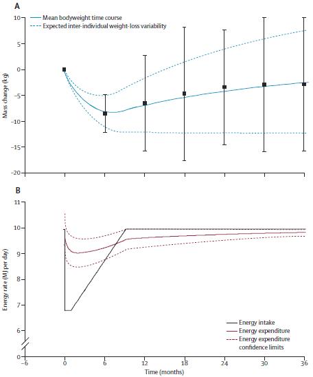
最後,很有趣地,發明這套體重模擬器的團隊,也發表了參與實驗的小胖人們,最常出現的減肥模式:首先,厲行節食策略一陣子(下圖黑線),再慢慢鬆懈,在九個月左右徹底放棄。反應在體重上就是,前六個月體重大幅降低,但之後因為鬆懈節食,且能量消耗因為一開始的節食而降低。所以體重不再減少,最後又慢慢增加回去。

-----廣告,請繼續往下閱讀-----

看來,最終極的體重模擬器,似乎得把人的惰性以及居住地方鹽酥雞攤密度給考慮進去,才能真正地模擬我們的體重變化。只是那樣的結果好像不模擬也都可以知道了。

延伸閱讀

註:更多賴以威的數學故事,請參考《超展開數學教室》。

-----廣告,請繼續往下閱讀-----
賴 以威

數學作家、譯者,作品散見於聯合報、未來少年、國語日報,與各家網路媒體。師大附中,台大電機畢業。 我深信數學大師約翰·馮·諾伊曼的名言「If people do not believe that mathematics is simple, it is only because they do not realize how complicated life is」。為了讓各位跟我一樣相信這句話,我們得先從數學有多簡單來說起,聊聊數學,也用數學說故事。 歡迎加入我與太太廖珮妤一起創辦的: 數感實驗室 。

View Comments