警方估計柯P嘉年華的人數,與柯營公告的人數差異很大。(圖片來源:馮維義)

從太陽花學運、香港佔中到令人緊張的選前週末,「參與人數有多少?」往往在政府與公民、鄉民、暴民兩方產生拉鋸。雖然警方估計的人數是柯營公告的五折,柯文哲仍表示「沒什麼好吵的,票投出來最重要」。不過另一位阿文對人數估計的差異表示「相信警方專業」,我剛好在太陽花學運後投入群眾人口的估計研究,藉此機會,與各位就這個問題本身,討論一下目前的方法是否具有明顯的瑕疵?如何更「專業」?

大多數的人口估計方法,都運用一個簡單的小學公式:

人數=面積×密度

也就是說要有精準的估計,在面積、密度的評估上就不能馬虎。然而每一場活動有最熱鬧和最外圍的地區,警方忽略活動的外圍區域,只算了活動最「熱鬧」的區塊,其中最主要的原因是警方想要用一個「平均密度」去估算(例如:3人/平方公尺,或者2人/平方公尺),因此相對人數稀疏的外圍地區,當然就無法算進來囉。

-----廣告,請繼續往下閱讀-----

姑且不挑剔警方畫的範圍是否精準,我們注意到,太陽花學運時警方採用的平均密度也是3,這個3為什麼這個好用,一點依據都沒有嗎?其實是有的,而且已經使用近半世紀。1967年美國柏克萊大學新聞系教授雅各(Herbert Jacobs)對示威人潮進行人工估計,得到了這個約略的數字,此後「雅各法」廣泛的被使用。

為什麼我們只能用一個或兩個平均密度去估計呢?最主要的理由是,「全面評估密度分布耗費大量人力、成本,所以乾脆採用以一概全的平均密度。」可是熱鬧區和外圍區的人口密度差距極大,即便都在熱鬧區,因為大家的姿勢、體型,或其他臉書大神也無法解釋的偶然原因,真實地表的人群密度是很不均勻的。如果說不確定性這麼大,那警方採用2還是3,衍伸出20萬和30萬人的差距,實在很難苟同阿文說的專業呀。

從美國影集疑犯追蹤(person of interest)正打得火熱,可以想像現代社會監視器普及的程度,很多資工領域的研究開始運用監視器畫面,鑽研特定範圍內的人口估計,他們的做法簡單來說,就發展用各種影像分析方法,計算一張影像中的人數(例如運用影像pixel的R、G、B數值,挑選出影像中人佔面積,或者從影像的輪廓推估人數)。隨著這種方法發展蓬勃,一張影像中人數估計的精準度可以達到很高的水準,但是如果要用來估計大規模的群眾人口,會有兩個致命性的問題:

第一個是資料取得,政府不會給暴民監視器影像。

-----廣告,請繼續往下閱讀-----

第二個是方法本身的限制,就算計算出每張影像的人數,沒有監視器的地方怎麼辦?

今年太陽花學運的330遊行的人數爭議,我開始想,群眾的力量(Crowd sourcing)加上地理學的空間分析專長,或許可以解決這個難題,因此向網友大大們蒐集了上千張的照片,此外,邦吉空拍工作室也提供了一些空拍畫面。我用簡單的分析流程,來說明這份研究如何進一步精確估算人口密度分布:

第一步:資料蒐集

網友的平面照片可以取代監視器畫面,只要有人在的地方,就有機會取得那個地方的影像,比監視器遍布的範圍更廣,資料的共享性也更高,這份研究挑選了其中下午4點左右的照片,避免人口分布隨時間變化的問題。此外,我們還是會遇到影像不連續的問題,也就是說,照片再多,也不可能100%遍布所有地區,因此我們需要4點時大範圍的空照圖,來處理這個問題。

第二步:資料分析

運用物件導向的影像分析,可以計算出人口密度。(圖片來源:網友)

物件導向影像分析軟體(Object-based Analysis)有別於傳統的pixel-based的影像分析軟體,除了可以用影像中pixel的RGB數值來進行分析,還能夠考量到物件的幾何形狀、相對位置等,幫助我們更精確地計算出人臉數。如此一來,如果我們有十張照片,這些照片有紀錄拍攝的座標,就可以找到十個空間位置的人口密度。

-----廣告,請繼續往下閱讀-----

到此為止,我們還無法將這些「點」密度,推廣到大範圍「面」的人口密度。

因此,我們需要第二種資料:空照圖。空照圖因為拍攝的距離較遠,不足以讓我們點出畫面中到底有幾個人,但是用影像分析軟體,可以挑出人所在的範圍。有了這筆資料,我們就可以用地理資訊系統(GIS)軟體,將景福門地區切成網格狀,以空間分析的軟體工具,算出每個格子有多少 % 是人,這個比例就是每個格子的相對的人口密度。

藉由影像分析軟體找出空照圖中人佔的區域(黃色)。(圖片來源:邦及空拍工作室)

第三步:空間推估

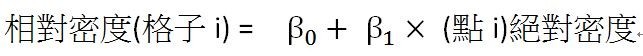
最終的結果呼之欲出,我們在GIS中將網友照片得到的點密度,以及空照得到的相對面密度疊合在一起,找出兩者的迴歸關係:

公式中的i代表某一點所在的格子,B0和B1是截距和斜率,透過已知的樣本可以找到這兩個係數,如此一來,其他未知絕對密度的格子,就可以套用這個關係式求得絕對密度了。

-----廣告,請繼續往下閱讀-----
將照片得到的點密度與空拍推出的相對密度疊在一起,以進行回歸分析。

這份研究以景福門為示範的研究區,結果發現,所有格子的平均密度為3.41(每平方公尺),一個標準差的範圍內,人口密度甚至高達4.37,若援引批踢踢網友繪製的330太陽花遊行總面積147,216平方公尺來計算,警方以3人作為密度就足足低估「六萬多人」。更遑論這次警方以「感覺」決定部分地區的人口密度僅為2人。

有了群眾的力量,就能利用上述的方法很快找到真實地表上的不均勻密度,專業的人數估計是可能的,只是這邊所指的「專業」,可能與連勝文所瞭解到的有所不同。

當然,目前這個成果有一些限制,例如我只處理了單一時段的人數,無法代表活動的總參加人數;此外,也有一些研究針對動態(人會移動的,而非靜坐的)的遊行人數發展統計方法。我認為這些難題都可以被群眾的力量解決,關鍵是「社運的當下是否有足夠的相片上傳」。

有鑑於此,目前預計進行的任務是:

-----廣告,請繼續往下閱讀-----
  1. 建立一個可供上傳照片的平台(網站或APP),建立拍照SOP,例如:拍攝角度的示範、開啟座標定位功能等。
  2. 其次是精進影像分析的品質,主要的問題是如何估算平面照片的影像深度。

若有相關領域的朋友對這個議題有興趣,歡迎一起討論、合作!

-----廣告,請繼續往下閱讀-----
陳 慈忻

在丹麥的博士生,專長是用機器學習探索人類生活空間,正在研究都市環境變遷與人類健康的關係。曾擔任防災科普小組編輯、社會創新電子報主編。

View Comments