-----廣告,請繼續往下閱讀-----

本文由民視《科學再發現》贊助,泛科學獨立製作

文/陳其威(印尼泗水台灣國際學校物理老師)

最近有研究指出,螞蟻在不同的表面行徑時,也遵行著折射定律,也就是說,螞蟻所走的距離,並不是最短距離,而是最省時的路線。研究人員收集了以色列小火蟻的巢穴,一個巢穴約有幾千隻的工蟻與幾隻的蟻后,並將螞蟻們放在牆邊的角落,而食物源放在另一個對角的角落,為了到達食物的角落,必須穿過由不同材料所覆蓋的區域,不同的材料影響了螞蟻步行的平均速率:粗糙的聚酯氈(1.73毫米/秒),光滑聚酯氈(2.97毫米/秒),和聚乙烯玻璃(4.89毫米/秒)。

研究人員預測的角度的限制,螞蟻會跨越從一個表面到另一個表面,他們將選擇最快的路徑。按照至少一次費馬原理,該角度可以被認為是折射角,類似於光的折射,是以特定的角度在不同介質傳播。就如同救生員必須找到最佳路徑,以到達一個溺水的游泳者以最快的方式,而不是最短距離。

-----廣告,請繼續往下閱讀-----
螞蟻巢穴與食物源的示意圖

生活中我們不難發現光的折射現象,例如插在水中的吸管似乎被折斷了、下過雨後的彩虹、太陽光射入玻璃後成彩色光線,都是因為光在不同的介質中,傳遞的速度不同,而造成光偏折的現象,我們稱之為光的折射。

太陽光射入玻璃後形成彩色的光線

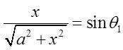
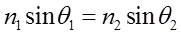
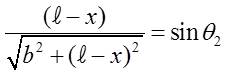
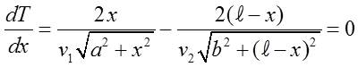
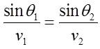
而光的偏折並不是任意的偏折,它所行徑的路線會遵守折射定律θ1,θ2表示入射角與折射角,n1, n2分別表示入射介質與折射介質的折射率),又稱司乃耳定律,而滿足這樣的路徑的光線,可以使光從P點到Q點行經的”時間”最短,而不是距離最短。

光在不同介質傳遞時,產生折射的現象

 

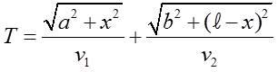
可以利用數學的費馬原理證明,由P點到Q點所行經的時間T

當時間Tx取導數,若T為極小值,則導數值為零,

-----廣告,請繼續往下閱讀-----

, ,因此可化簡成

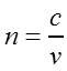
再用折射率的定義 ,即可得到司乃耳定律

螞蟻在不同介面,所走的路徑並非直線,而是最短時間的路徑

研究人員還指出,螞蟻也喜歡依邊框的邊緣行進(在現實生活中,例如,螞蟻往往沿著人行道的邊緣行走),這可能便於螞蟻定位地標,也意味著所需要信息較少,研究人員未來希望能夠學習更多的新領域。

【參考資料與延伸閱讀】

-----廣告,請繼續往下閱讀-----
  1. Ants follow Fermat’s principle of least time
  2. Fermat’s Principle of Least Time Predicts Refraction of Ant Trails at Substrate Borders
  3. Fermat’s principle
-----廣告,請繼續往下閱讀-----
活躍星系核

活躍星系核(active galactic nucleus, AGN)是一類中央核區活動性很強的河外星系。這些星系比普通星系活躍,在從無線電波到伽瑪射線的全波段裡都發出很強的電磁輻射。 本帳號發表來自各方的投稿。附有資料出處的科學好文,都歡迎你來投稿喔。 Email: contact@pansci.asia

View Comments